《时代周刊》:终身现金流,对退休生活的幸福很关键                            
                            日期:10月 26, 2022浏览次数 :4,504 次浏览栏目 :保险科普
                             
                        
                        
                        
                        
《时代周刊》曾发表过一篇文章,指出:终身收入现金流,对退休生活的幸福很关键。
这个结论来自于英国首次“全国幸福指数”调查。该调查由英国国家统计局负责,历时12个月之久。结果显示,有退休金的老人是英国幸福感最强的群体之一。
虽然参与调查的只有英国民众,但这个结论却是放之四海皆准的。 
全球资管巨头贝莱德也曾在美国做过一次退休调研,1,035位已退休者中,有83%的人表示,退休后才发现,稳定的终身收入,比他们原本以为的还要更重要。
这些调查结果都与诺贝尔经济学家罗伯特·莫顿的忠告不谋而合。
在去年9月的一次峰会上,这位诺贝尔经济学家强调:一个人退休后的生活水准并不是由财富总额决定,而是由收入现金流来决定的。
为什么会这样呢?
任何资产都无法直接“当钱花”
退休以后,不管是生活开支,还是医疗支出,依靠的都是现金,我们需要持续不断的收入现金流来维持生活。任何资产,房产也好,权益类资产也好,不管市场价值有多高,都无法直接“当钱花”。
随着我国新生人口越来越少,老龄化不断加剧,中小城市年轻人口流失,一线核心城市之外的房产将逐渐变成平庸资产,未来不管是出售还是出租,都可能面临变现困境。
而权益类投资,大多需要长期持有,不适合随时变现。如果市场下跌时赎回,意味着实际亏损,回本的难度越来越高,钱花光的速度越来越快。
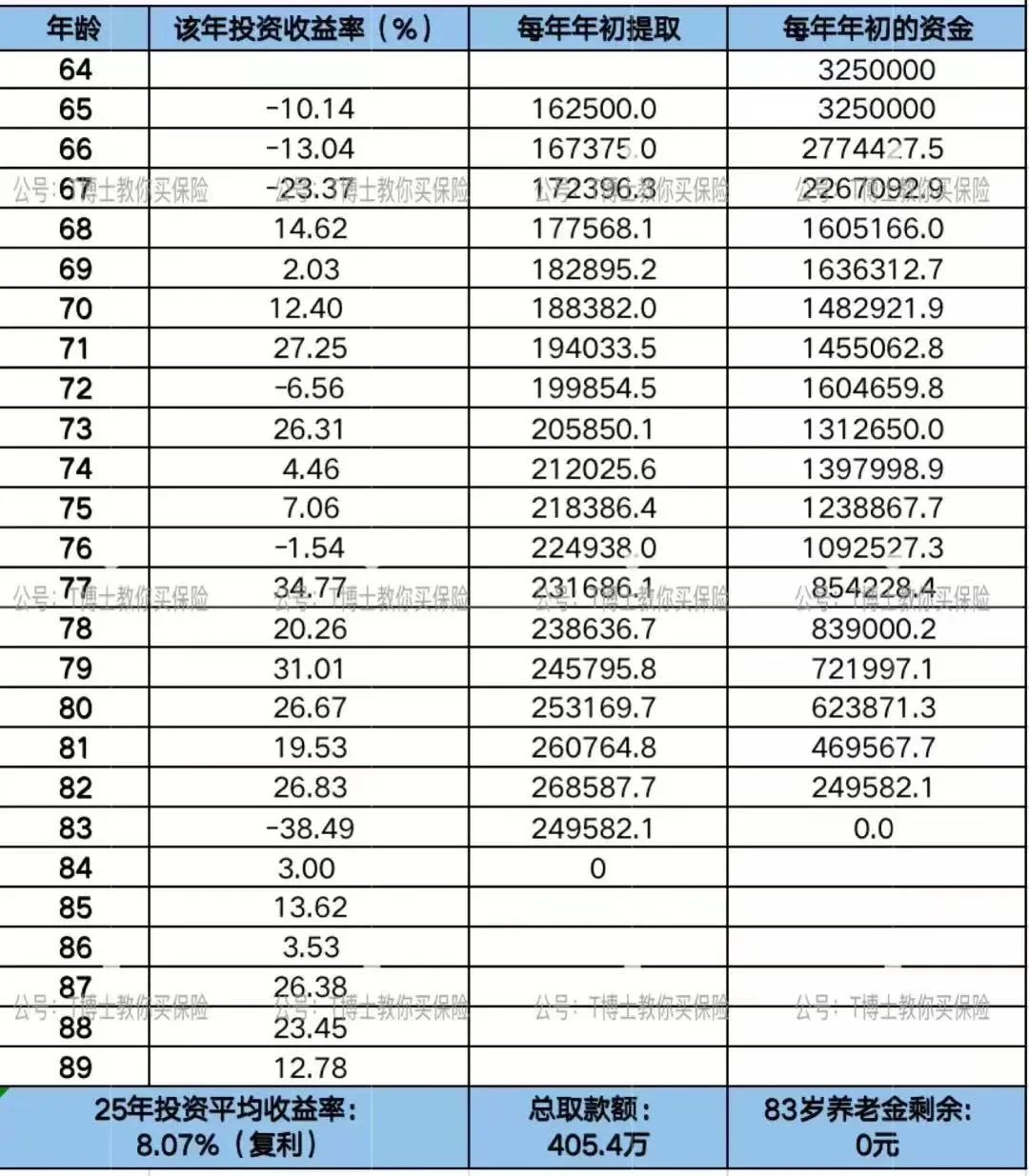
下面是一位女士从65岁到89岁的投资情况,这25年的平均收益率为8%,然而在她83岁时,她的本金325万已经归零,陷入老后破产。就是因为,不管盈亏,她每年都必须从这个投资账户里提取一笔钱来生活。
所以,正如诺贝尔经济学家罗伯特·莫顿所建议的, 我们养老规划的目标,不是资产积累,而是要为退休以后安排好源源不断的收入现金流 。
美国万通金融集团曾经访问过大量1946-1964年出生的人:“你最害怕的事情是什么?”
排在第一位的答案不是死亡、恐怖袭击、瘟疫,而是: 人活着,钱花没了 !
随着寿命的延长,这样的恐惧和不安还将进一步放大。过去的两百年里,人类预期寿命一直在以每10年增加两三岁的惊人速度增长,现在三四十岁的人,有极大的概率活到95岁以上。这意味着,退休后我们还要生活三十年左右的时间。你的钱够不够用呢?
不管是存款,还是任何资产,都有被消耗殆尽的可能性。
只有稳定的终身收入现金流,才是老年时期的安全感来源,因为只要我们活着,就有钱风雨无阻打到我们的账户里,永远不用担心没有钱花。
老来每月收入2万和有三套房,你觉得哪个能让我们被照顾得更好?
我有一位90多岁的堂爷爷,离休干部,退休金每月2万左右。前两年想回老家乡下生活,三个子女轮流,坐五六个小时高铁回去,每人每次陪他住一个月。轮到谁陪他,他当月的退休金就给谁。两年多了,大家都毫无怨言。
相比之下,苏州一位老太太,手握三套拆迁房。她把三套房子都给了孙女,希望换取孙女的照顾。然而孙女拿了房后,却对她置之不理,老太太生病住院也不问不管。
我们老了以后,总有一段时间需要人照顾。 而钱的形态不同,给到我们身边人的愿景和激励也是完全不一样的。一笔和我们生命绑定在一起的家庭收入,也许能让我们被照顾得更好,晚年更幸福。 这是正常的人性。
美国财政部建议,美国人至少应该把他们一半的退休储蓄通过年金转成退休后的收入现金流。
中国政府虽然没有这样明确的建议,但也一直大力倡导大家购买商业养老年金补充退休后的收入,尤其是在老龄化日益严峻、社保养老金发放压力巨大的形势下。
去年上半年,发展包括商业养老年金在内的第三支柱养老保险,更是被写入了“十四五规划”之中,重要性和紧迫性不言而喻。
对个人来说,商业养老年金也是我们能找到的最合适的养老工具。它是社保之外唯一一种可以提供终身收入保障的工具,只要活着,就有持续不断的现金流。
而且养老年金是市面上屈指可数的 刚性兑付 的产品,什么时候领取,每年领多少,都写在合同里板上钉钉。
养老年金每年交多少保费,交多年,因人而异,大家可以根据自己的情况来定。
                        
                        
                    
                 
还没有任何评论,你来说两句吧